Springe zum Hauptinhalt Skip to main navigation Skip to site search

Regeln gibt´s genug

Na klar, wenn Wärmeenergie gespart werden soll, ist es wichtig diese zumindest sehr effizient zu erzeugen. Und da sind wir in Deutschland auf einem heiß diskutierten Weg. Und natürlich ist es noch interessanter, wenn die Energie gar nicht erst bereitgestellt werden muss. Daher dämmt man die Neubauten nach den Vorgaben des GEG und dichtet die Häuser immer luftdichter ab.

Innerhalb eines Gebäudes sind Einsparungen in Bezug auf die Wärmeenergie ebenfalls zu erwirtschaften. Und zu diesem Zweck gelten in Deutschland entsprechende Regelwerke. Daher ist die Dämmung von Rohrleitungen seit vielen Jahrzehnten vorgeschrieben und die erzielbare Geld- und Energieeinsparungen sind berechenbar. Nebenbei können ausreichend gedämmte Rohrleitungen zur Trinkwasserhygiene beitragen. Aber lesen Sie selbst.

Zwei Werke, ein Thema

Betrachten wir die Heizungs- und Trinkwasserleitungen sind zwei Regelwerke unbestritten gültig:

Dies ist das Gebäudeenergiegesetz, kurz GEG genannt und die DIN 1988-200 als Technische Regel für Trinkwasser-Installationen.

Wann gilt das GEG?

Grundsätzlich wird die GEG in Sachen Rohrdämmung angewandt, wenn es um das Einsparen von Energie geht. Eine Heizungsleitung, die durch einen kalten Keller geführt wird, ist so ein klassischer GEG-Fall. Aber auch eine durchgängig erwärmte Warmwasserleitung fällt in den Hoheitsbereich des GEG. Soll also die Dämmung um die zirkulierenden Leitungen von Warmwasser und Zirkulation beurteilt werden, so gilt diese ebenso.

Wann 1988-200?

Immer wenn es um Kaltwasserleitungen geht die nicht in Technikzentralen oder Schächten verlegt sind gilt die DIN 1988. Erst wenn die Umgebungstemperaturen für Kaltwasserleitungen den Wert von 25 °C überschreiten sind Werte in der DIN 1988 aufgeführt, die dem GEG entsprechen und auch entsprungen sind.

Eine extrem scharfe Kante wurde also nicht gezogen zwischen GEG und DIN 1988. Das führt in der Praxis nicht selten zu Irritationen. Noch dazu, weil auch die physikalische Grundlage der Regelwerke sich nicht auf die gleiche Wärmeleitfähigkeit bezieht. Das geht so weit, dass in der DIN 1988-200 mit zwei unterschiedlichen Angaben zur Wärmeleitfähigkeit jongliert wird.

Die Wärmeleitfähigkeit ist aber entscheidend wichtig für die Ausführung und das Verständnis von Dämmungen.

Zur Wärmeleitfähigkeit

GEG und DIN 1988 beschreiben beide für eine bestimmte Einbausituation eine entsprechende Dämmdicke. Diese vorgeschriebene Dicke ergibt sich aber nicht bei beliebiger Dämmeigenschaft. Man kann nicht beispielsweise 20 mm Pappe, Filz oder Moosgummi um ein Rohr wickeln, dass laut GEG eine Dämmdicke von 20 mm bekommen sollte. Vielmehr gilt diese Dämmdicke bei Anwendung der Vorgaben des GEG nur bei einer Wärmeleitfähigkeit von 0,035 W/(m•K).

Und wenn die DIN 1988 für eine Kaltwasserleitung eine Dämmschichtdicke von 9 mm vorschreibt, gilt dies bei einer Wärmeleitfähigkeit von 0,040 W/(m•K).

W/(m•K) steht als Einheit relativ geheimnisvoll da. Erst wenn man mit Sinn und Verstand liest, versteht man diese Einheit etwas besser.

Trend bei der Dämmdicke

Um nur nicht alle Bestimmungen von GEG und DIN 1988 auswendig lernen zu müssen kann man sich für die Dämmsituationen folgende Regeln sehr einfach und logisch herleiten:

Warme Leitungen

Warme Leitungen sollen auch warm bleiben, insbesondere wenn diese durchströmt werden. Wird eine warmgehende Leitung durch eine besonders kalte Umgebung geführt, so muss diese dicker gedämmt werden als bei einer geringer zu erwartenden Temperaturdifferenz.

Kalte Leitungen

Kalte Leitungen sollen natürlich auch kalt bleiben. Und wieder gilt, dass diese Leitungen bei warmer Umgebung also großer Temperaturdifferenz dicker gedämmt werden müssen als bei kalter Umgebung.

Zusätzlich soll an kalten Leitungen die Tauwasserbildung verhindert werden.

Mit diesen beiden einfachen Regeln ist man zwar noch nicht endgültig gerüstet aber schon auf einem guten Weg.

Konkret 100 % nach GEG

Wenn einem Neuling in unserem Handwerk die Herleitung von der 100%-Dämmung nahegebracht werden soll, kann mit folgender Erklärung ein wenig Klarheit geschaffen werden.

Bei einem Rohr mit einem Innendurchmesser von mehr als 35 mm soll also bei der Anforderung an eine 100%-Dämmung an die Dämmschicht so dick sein wie der Innendurchmesser des Rohres vorausgesetzt die Wärmeleitfähigkeit beträgt 0,035 W/(m•K).

Beispiel:

Beispielsweise bei einem Kupferrohr mit den Rohrdimensionen 42 x 1,2 mm beträgt der Innendurchmesser 39,6 mm. Dieser Innendurchmesser würde bei 100% Anforderung mit dieser Dämmschichtdicke von mindestens 39,4 mm versehen werden müssen. Entsprechend würde dann bei einer 50%-Anforderung nur eine Dämmdicke von 19,8 mm erforderlich sein.

Die Hersteller von Rohrdämmungen erfüllen dann diese Anforderung mit den hauseigenen Standards.

Es wird also nicht zwingend so sein, dass ein Hersteller exakt diese Anforderungsdicke erfüllt. Das Dämmmaterial kann durchaus dicker ausgeführt werden, wenn denn die Wärmeleitfähigkeit höher ausfällt, also schlechter ist als 0,035 W/(m•K). Dann hat man zwar mehr Dämmdicke und damit mehr Ausmaße ins Gebäude gebracht, aber das kann trotzdem noch wirtschaftlicher sein als mit der geringen und in der Vorschrift vereinbarten Wärmeleitfähigkeit zu arbeiten. Als Beispiel kann eine Dämmung mit der Wärmeleitfähigkeit von 0,040 W/(m•K) die soeben beschriebene Anforderung bei 50 mm Dämmdicke erfüllen.

Natürlich kann ein Dämmhersteller auch die Dämmdicke reduzieren und trotzdem die 100%-Anforderung erfüllen. Hierzu muss er lediglich einen Dämmstoff mit geringerer Wärmeleitfähigkeit einsetzen. Als anderes Beispiel kann eine Dämmung mit der Wärmeleitfähigkeit von 0,030 W/(m•K) die soeben beschriebene Anforderung bei 30 mm Dämmdicke erfüllen.

Wie wird umgerechnet?

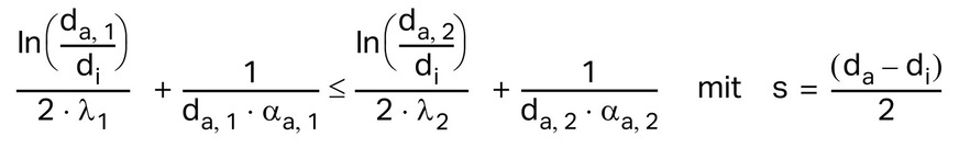
Die Formel zur Umrechnung von Dämmschichtdicken bei Rohrleitungen im Zusammenhang mit unterschiedlichen Wärmeleitfähigkeiten ist sehr interessant, aber für uns in der Praxis nicht zwingend als Präsenzwissen zu bezeichnen. Interessierte sollen aber trotzdem in diesem Bericht fündig werden.

100 oder gar 200 %

In der Praxis hat sich ein Sprachgebrauch etabliert, der unter anderem von der soeben beschriebenen 100 %-Dämmung ausgeht. Damit ist keinesfalls gemeint, dass die zu 100 % gedämmte Leitung in dieser Form keine Wärmeenergie mehr mit der Umgebung austauscht.

Eine wichtige Regel ist ganz einfach:

Egal wie dick man ein Rohr mit Dämmung einpackt, es wird sich so lange an die Umgebungstemperatur anpassen wollen, bis diese Temperatur absolut und genau erreicht ist.

Es gilt also:

  • Eine Leitung mit stehendem Wasser friert bei Minusgraden irgendwann ein.
  • Eine warm durchströmte Leitung gibt ungedämmt mehr Wärmeleistung ab als gedämmt.
  • Eine Warmwasserleitung erwärmt eine Kaltwasserleitung in direkter Nähe in Abhängigkeit von den Dämmdicken der beiden Rohre.
  • Bildliche Hilfestellung

    In diesem Bericht sehen Sie die farblich angelegten Bilder zu den Dämmsituationen. Der Redaktion der SBZ Monteur scheinen genau diese Darstellungen sehr hilfreich zu sein, um die Anforderungen an die Dämmung von Rohrleitungen in der Praxis darstellen zu können. Was meinen wir genau damit?

    Ein Monteur, der seit vielen Jahren Kesselanlagen tauscht und dort die Dämmungen der Rohrleitungen auf den notwendigen Stand bringt hat natürlich die gängigen Dimensionen für Rohrleitungen und entsprechende Dämmungen als Präsenzwissen abrufbereit.

    Wer als Anlagenmechaniker seltener mit Rohrdämmungen umgeht kann unbedingt Hilfe gebrauchen. Eine solche Hilfe ist seit Jahrzehnten der Dämmpass von Missel. Die abgebildeten und in diesem Bericht behandelten Anforderungen und solche, die darüber hinausgehen werden hier nach Einschätzung der SBZ Monteur Redaktion sehr gut abgearbeitet.

    Der Download der aktuellen Version dieses Dämmpasses kann erfolgen unter

    https://www.kolektor-insulation.com/de/dateien/downloads/broschueren/mi…

    Bitte beachten

    Will der Anlagenmechaniker ein mangelfreies Gewerk abliefern, so ist dies immer auch im Zusammenhang mit der vorgeschriebenen Dämmung zu sehen. Über diesen Ansatz kann man relativ schnell Einigkeit erzielen. Und nicht der Auftraggeber, als Laie, ist verpflichtet dem Profi, in Person des Anlagenmechanikers, die vorgeschriebene Dämmung zu erklären. Wir Profis „müssen“ also wissen was wir da tun und wir „müssen“ liefern.

    Natürlich ist die korrekte Dämmung von Rohrleitungen nicht zum Nulltarif zu haben. Daher ist es wichtig diesen Kostenfaktor bei einem Preisangebot zu berücksichtigen.

    Zu den gedämmten Leitungen gehört auch immer das Dämmen von Armaturen, Bögen, Abzweigen und T-Stücken. Insbesondere die Armaturen fallen in der Praxis fälschlicherweise oft raus.

    Fallstricke trotz GEG und DIN 1988

    Dramen spielen sich zum Teil ab, wenn trotz Einhaltung von Dämmdicken andere relevante Vorschriften nicht eingehalten werden.

    Gemeint sind Situationen, in denen beispielsweise eine Trinkwasserleitung für kaltes Wasser unterhalb einer Fußbodenheizung verlegt wurde. Schaut man in die DIN 1988 und dann ins GEG würde man annehmen, dass man doch alles richtig machen kann in Sachen Dämmung.

    Wäre da nicht die Vorschrift, dass nach maximal 30 Sekunden Zapfzeit das Trinkwasser kalt eine Temperatur von 25 °C nicht überschreiten darf.

    Wenn unter diesem Eindruck am Ende aller Dämmtheorien eine nicht realisierbare Dämmdicke den Einbau einer ausreichenden Dämmdicke verhindert, müssen zwingend andere Wege beschritten werden. Der berühmte Anschluss der Kaltwasserleitung kann dann vielleicht nicht unterhalb der Fußbodenheizung verlegt werden. Denn einerseits passt eine 200%-Dämmung nicht in den Fußbodenaufbau und andererseits kann selbst 200% nach GEG eine Aufheizung einer ansonsten kalten Trinkwasserleitung (PWC) nicht verhindern. Andere Maßnahmen sind in einem solchen Fall zur Problemlösung gefragt. Man kann dann darüber nachdenken PWC in einem Randbereich des Raumes zu verlegen und dort die Fußbodenheizung auszusparen. Oder man sorgt für einen regelmäßigen Wasseraustausch und damit für eine Abkühlung des PWC im Zusammenhang mit einem bestimmungsgemäßen Betrieb. ■

    Weitere Tipps zum Dämmen und die
    Vorstellung verschiedener Dämmmaterialien sehen Sie hier:

    www.youtube.com/watch?v=v3Wai6dmRA0

    Was eine 100-Prozent-Dämmung ausmacht, kann man im GEG nachlesen

    Foto: Missel Dämmpass, 43. Auflage

    Was eine 100-Prozent-Dämmung ausmacht, kann man im GEG nachlesen
    Trinkwasserleitungen werden unter anderem gemäß den Vorgaben der DIN 1988-200 gedämmt

    Foto: Missel Dämmpass, 43. Auflage

    Trinkwasserleitungen werden unter anderem gemäß den Vorgaben der DIN 1988-200 gedämmt
    So stellt sich heizungsseitige Dämmung dar

    Foto: Missel Dämmpass, 43. Auflage

    So stellt sich heizungsseitige Dämmung dar
    Wie man Warmwasser- und Zirkulationsleitungen korrekt dämmt

    Foto: Missel Dämmpass, 43. Auflage

    Wie man Warmwasser- und Zirkulationsleitungen korrekt dämmt
    Wie man Kaltwasserleitungen dämmt und im Zweifel vor Erwärmung schützt

    Foto: Missel Dämmpass, 43. Auflage

    Wie man Kaltwasserleitungen dämmt und im Zweifel vor Erwärmung schützt
    Nach dieser Formel erfolgt die Umrechnung von Dämmschichtdicken

    Foto: Geberit, Kompetenzbroschüre Trinkwasserhygiene

    Nach dieser Formel erfolgt die Umrechnung von Dämmschichtdicken

    Übersetzung der Wärmeleitfähigkeit

    Ich bin eine Isolierung und gebe eine Leistung in Watt [W] ab in Abhängigkeit von meiner Materialdicke gemessen in Meter [m] und abhängig davon wie groß der Temperaturunterschied in Kelvin [K] ist zwischen dem von mir umschlossenen Material (Beispiel: Heizungsrohr) und der Umgebung (Beispiel: Keller).

    Selbstversuch (mit „Freunden“)

    Ein Backblech in einem auf 230 °C erwärmten Backofen soll herausgezogen werden. Proband I versucht es mit bloßen Händen, Proband II fasst das Blech mit einem dünnen Butterbrotspapier und Proband III mit einem dicken, mehrlagigen Handtuch an.Wer der drei Probanden schafft es mit dem Blech in der Hand voraussichtlich aus der Küche raus und bis zum Küchentisch zu gelangen?

    Jetzt weiterlesen und profitieren.

    + TI - Technische Isolierung E-Paper-Ausgabe – 4 Ausgaben im Jahr
    + Kostenfreien Zugang zu unserem Online-Archiv
     

    Premium Mitgliedschaft

    2 Monate kostenlos testen